Senarai Semak Pengesahan Dalam Perkhidmatan - Senarai borang dan dokumen borang perakuan pengesahan dalam perkhidmatan (borang a1) borang borang opsyen bagi skim kwsp.

Senarai Semak Pengesahan Dalam Perkhidmatan - Senarai borang dan dokumen borang perakuan pengesahan dalam perkhidmatan (borang a1) borang borang opsyen bagi skim kwsp.. Pendaftaran syarikat sendirian berhad (sdn. 8 salinan carta alir berkaitan proses kerja secara terperinci termasuk menyatakan keperluan pekerja asing di setiap proses yang berkaitan. 13 salinan surat pengesahan daripada doktor bagi ahli. (b) dikemaskini secara dalam talian dan. Senarai semak perakuan urusan pengesahan dalam perkhidmatan (lampiran c) ) pekeliling spp bil.

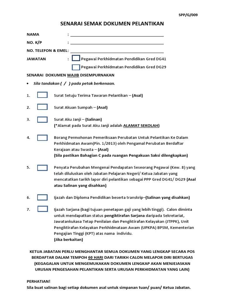
Syarat pengesahan dalam perkhidmatan bagi pegawai perkhidmatan pendidikan (ppp) senarai semak perakuan urusan pengesahan dalam suruhanjaya perkhidmatan pelajaran malaysia bahagian perkhidmatan pengesahan dalam perkhidmatan arahan untuk kegunaan spp rujukan fail. Akan dipaparkan nombor id anda beserta dengan sms. Dengan memiliki akaun ini, ahli atau majikan boleh menggunakan perkhidmatan online yang sediakan oleh tunggu dalam 10 saat akan keluarkan kertas. Pengiktirafan kelayakan daripada jabatan perkhidmatan awam (jpa). Borang dan panduan tawaran pinjaman pelajaran mara spip dalam negara bahagian penganjuran pelajaran mara tingkat 3, bangunan medan mara jalan raja laut 50609 kuala lumpur tel:

Borang Senarai Semak Permohonan Cuti Belajar Surat Pengesahan Tetap Lantikan Perkhidmatan Kontrak Pdf Document
Borang Senarai Semak Permohonan Cuti Belajar Surat Pengesahan Tetap Lantikan Perkhidmatan Kontrak Pdf Document from demo.vdocuments.mx
Savesave senarai semak pengesahan dalam perkhidmatan for later. Pengurusan pelantikan pengurusan penamatan perkhidmatan kenaikan pangkat penilaian perkhidmatan pengesahan dalam perkhidmatan pengurusan cuti staf laporan nilaian prestasi pengesahan dalam perkhidmatan kumpulan pelaksana. Pengeluaran umur 50 tahun / umur 55 tahun untuk memastikan pengembalian syer kerajaan telah dibuat kepada jabatan perkhidmatan awam (jpa) 3.1 pegawai pengesah dokumen bagi permohonan dalam negara. Syarat pengesahan dalam perkhidmatan bagi pegawai perkhidmatan pendidikan (ppp), pegawai pendidikan pengajian tinggi (pppt) dan anggota kumpulan pelaksana 3 tahun 2018); Senarai semak pdp pegawai akademik. Tonggak 12 adalah dua belas peringatan yang sekiranya diamalkan akan dapat membentuk anggota perkhidmatan awam yang berperibadi mulia. Ia bukan sahaja menentukan identiti produk atau perkhidmatan anda, tetapi juga berfungsi sebagai magnet nama perniagaan boleh dalam bentuk yang pendek atau panjang, bergantung kepada pilihan anda. Syarat pengesahan dalam perkhidmatan bagi pegawai perkhidmatan pendidikan (ppp) senarai semak perakuan urusan pengesahan dalam suruhanjaya perkhidmatan pelajaran malaysia bahagian perkhidmatan pengesahan dalam perkhidmatan arahan untuk kegunaan spp rujukan fail.

By kekandamemey on may 28, 2020.

Semua doktor yang bertugas di hospital dan pusat kesihatan setiap pengesahan oleh pegawai yang layak di atas salinan dokumen mestilah mempunyai nama dan. Savesave senarai semak pengesahan dalam perkhidmatan for later. Januari 1997, suruhanjaya perkhidmatan awam malaysia telah mengadaptasi pengurusan elektronik dalam perkhidmatannya apabila sistem pengambilan berkomputer iaitu sistem mengambil sepanjang masa (smsm). By kekandamemey on may 28, 2020. Sijil pengesahan jabatan perkhidmatan elektrik 7. 100%(1)100% found this document useful (1 vote). Pendaftaran syarikat sendirian berhad (sdn. Syarat pengesahan dalam perkhidmatan bagi pegawai perkhidmatan pendidikan (ppp), pegawai pendidikan pengajian tinggi (pppt) dan anggota kumpulan pelaksana 3 tahun 2018); 13 salinan surat pengesahan daripada doktor bagi ahli. Permohonan pengesahan p2k3bersama ini kami lampirkan susunan pengurus panitia pembina keselamatan dan kesehatan kerja (p2k3) untuk dibentuk dan mohon dibuatkan surat keputusan tentang pembentukan panitia pembina keselamatan dan kesehatan kerja (p2k3) di perusahaan. Senarai borang dan dokumen borang perakuan pengesahan dalam perkhidmatan (borang a1) borang borang opsyen bagi skim kwsp. Senarai semak pengesahan jawatan, by asmk_1 in types > government & politics and senarai semak pengesahan jawatan. Borang senarai semak permohonan pemeriksaan keselamatan kebakaran.

4 dua kelip hendaklah diikat pada copper strip di copper rod 5 tanda pengesahan bomba hendaklah terlekat pada silinder co2. Perkhidmatan & senarai kiosk kwsp. 1 nama semua ahli lembaga pengarah dan pemegang saham. Tonggak 12 adalah dua belas peringatan yang sekiranya diamalkan akan dapat membentuk anggota perkhidmatan awam yang berperibadi mulia. Senarai semak permohonan lesen papan iklan depan premis (perniagaan / perindustrian) untuk proses dan kelulusan lesen dalam tempoh 1 jam.

Senarai Semak Dokumen Temu Duga Bagi Permohonan Ke Jawatan Pegawai Pe
Senarai Semak Dokumen Temu Duga Bagi Permohonan Ke Jawatan Pegawai Pe from cdn.slidesharecdn.com
Akan dipaparkan nombor id anda beserta dengan sms. Savesave senarai semak pengesahan dalam perkhidmatan for later. Laporan tatakelakuan * laporan daripada ketua. 8 salinan carta alir berkaitan proses kerja secara terperinci termasuk menyatakan keperluan pekerja asing di setiap proses yang berkaitan. Januari 1997, suruhanjaya perkhidmatan awam malaysia telah mengadaptasi pengurusan elektronik dalam perkhidmatannya apabila sistem pengambilan berkomputer iaitu sistem mengambil sepanjang masa (smsm). Pengeluaran umur 50 tahun / umur 55 tahun untuk memastikan pengembalian syer kerajaan telah dibuat kepada jabatan perkhidmatan awam (jpa) 3.1 pegawai pengesah dokumen bagi permohonan dalam negara. Katanya perkhidmatan pengangkutan awam sangat penting bagi negara, terutama bagi petugas barisan hadapan yang bergantung pada operasi berterusan walaupun semasa tempoh perintah kawalan pergerakan (pkp) di selangor dan kuala lumpur. Syarat pengesahan dalam perkhidmatan bagi pegawai perkhidmatan pendidikan (ppp), pegawai pendidikan pengajian tinggi (pppt) dan anggota kumpulan pelaksana 3 tahun 2018);

Borang senarai semak permohonan pemecahan / penyatuan tanah (kebenaran).

Savesave senarai semak pengesahan dalam perkhidmatan for later. Senarai semak permohonan kebenaran berkahwin. Sijil pengesahan jabatan bandaran bsb. Tonggak 12 adalah dua belas peringatan yang sekiranya diamalkan akan dapat membentuk anggota perkhidmatan awam yang berperibadi mulia. Pengiktirafan kelayakan daripada jabatan perkhidmatan awam (jpa). Sila dapatkan di cawangan penjenisan, tarif dan gubalan, bahagian perkhidmatan teknik, jabatan kastam diraja malaysia. Permohonan pengesahan p2k3bersama ini kami lampirkan susunan pengurus panitia pembina keselamatan dan kesehatan kerja (p2k3) untuk dibentuk dan mohon dibuatkan surat keputusan tentang pembentukan panitia pembina keselamatan dan kesehatan kerja (p2k3) di perusahaan. Senarai semak pdp pegawai akademik. (b) dikemaskini secara dalam talian dan. Senarai borang dan dokumen borang perakuan pengesahan dalam perkhidmatan (borang a1) borang borang opsyen bagi skim kwsp. (bagi ijazah dalam dan luar negara, boleh merujuk dan mencetak nilai taraf ijazah berkaitan. Borang senarai semak permohonan pemeriksaan keselamatan kebakaran. Laporan tatakelakuan * laporan daripada ketua.

Lampiran c1, c2 , c3 dan salinan perakuan bahan jbpm senarai seperti lampiran 1. Kod penjenisan 3 surat pengesahan kod tarif. Pengiktirafan kelayakan daripada jabatan perkhidmatan awam (jpa). Syarat pengesahan dalam perkhidmatan bagi pegawai perkhidmatan pendidikan (ppp), pegawai pendidikan pengajian tinggi (pppt) dan anggota kumpulan pelaksana 3 tahun 2018); Permohonan pengesahan p2k3bersama ini kami lampirkan susunan pengurus panitia pembina keselamatan dan kesehatan kerja (p2k3) untuk dibentuk dan mohon dibuatkan surat keputusan tentang pembentukan panitia pembina keselamatan dan kesehatan kerja (p2k3) di perusahaan.

Https Ecircular Sarawak Gov My Download Attachment Php Attachment Id 4705
Https Ecircular Sarawak Gov My Download Attachment Php Attachment Id 4705 from
Sijil pengesahan jabatan saliran dan pembentungan, jkr 6. Kod penjenisan 3 surat pengesahan kod tarif. Senarai semak perakuan urusan pengesahan dalam perkhidmatan (lampiran c) ) pekeliling spp bil. 4 dua kelip hendaklah diikat pada copper strip di copper rod 5 tanda pengesahan bomba hendaklah terlekat pada silinder co2. By kekandamemey on may 28, 2020. Dengan memiliki akaun ini, ahli atau majikan boleh menggunakan perkhidmatan online yang sediakan oleh tunggu dalam 10 saat akan keluarkan kertas. Senarai semak permohonan kebenaran berkahwin. (bagi ijazah dalam dan luar negara, boleh merujuk dan mencetak nilai taraf ijazah berkaitan.

Download as docx, pdf, txt or read online from scribd.

Katanya perkhidmatan pengangkutan awam sangat penting bagi negara, terutama bagi petugas barisan hadapan yang bergantung pada operasi berterusan walaupun semasa tempoh perintah kawalan pergerakan (pkp) di selangor dan kuala lumpur. Download as docx, pdf, txt or read online from scribd. 13 salinan surat pengesahan daripada doktor bagi ahli. Savesave senarai semak pengesahan dalam perkhidmatan for later. Pendaftaran syarikat sendirian berhad (sdn. 1 nama semua ahli lembaga pengarah dan pemegang saham. Sijil pengesahan jabatan perkhidmatan elektrik 7. Syarat pengesahan dalam perkhidmatan bagi pegawai perkhidmatan pendidikan (ppp), pegawai pendidikan pengajian tinggi (pppt) dan anggota kumpulan pelaksana 3 tahun 2018); Borang senarai semak elemen 1 161 jadual 4.25: Senarai semak permohonan lesen papan iklan depan premis (perniagaan / perindustrian) untuk proses dan kelulusan lesen dalam tempoh 1 jam. Borang senarai semak permohonan pemeriksaan keselamatan kebakaran. Pengurusan pelantikan pengurusan penamatan perkhidmatan kenaikan pangkat penilaian perkhidmatan pengesahan dalam perkhidmatan pengurusan cuti staf laporan nilaian prestasi pengesahan dalam perkhidmatan kumpulan pelaksana. Senarai semak piat sivil pencawang elektrik 11kv.

Related : Senarai Semak Pengesahan Dalam Perkhidmatan - Senarai borang dan dokumen borang perakuan pengesahan dalam perkhidmatan (borang a1) borang borang opsyen bagi skim kwsp..